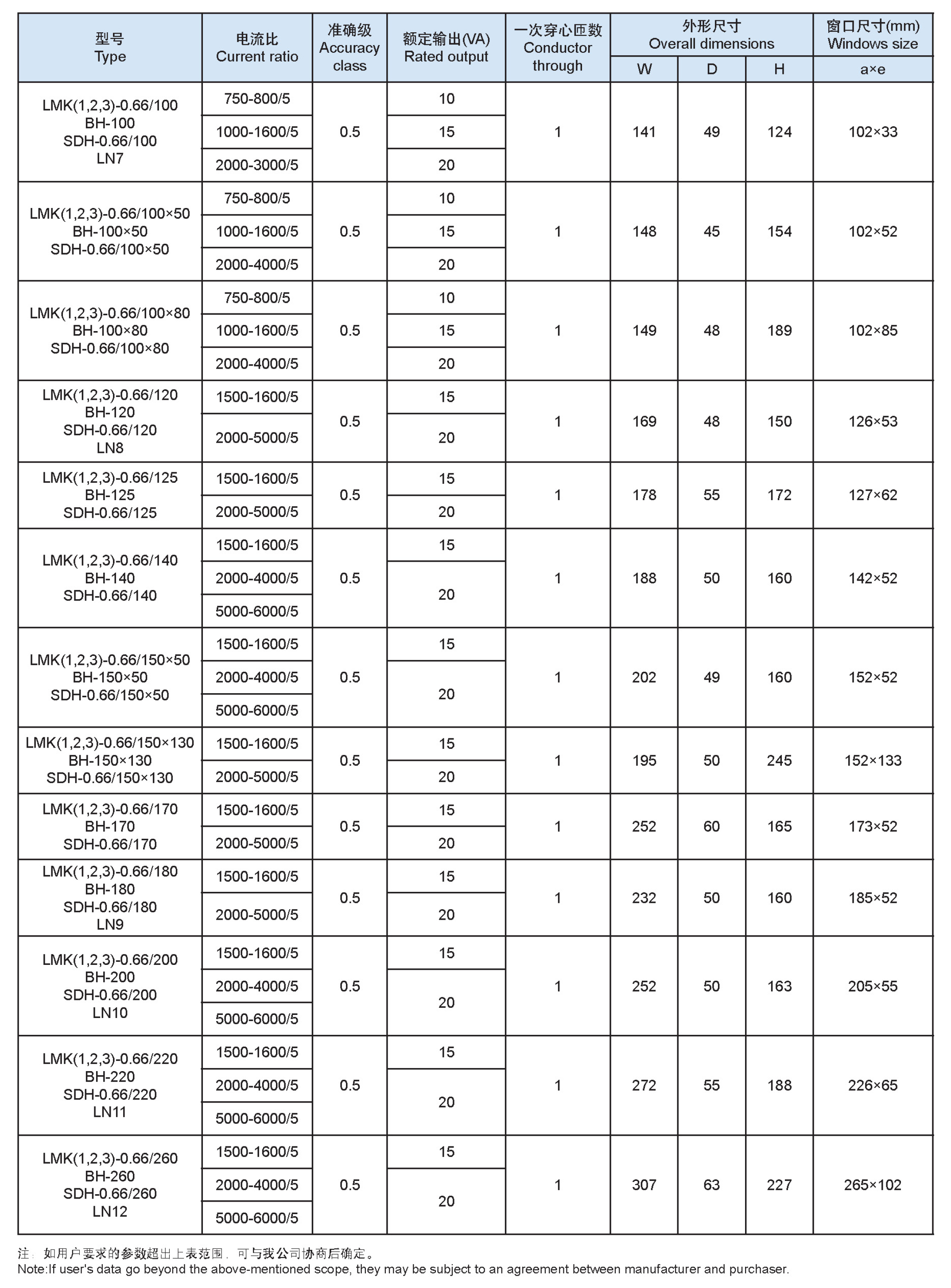
LMK(1,2,3)-0.66、BH、SDH、LN

 




 

服务电话:

13305266756

江苏广元电气有限公司

地址:江苏省泰兴市张桥镇南首

电话:0523-87561753

手机:13305266756

传真:0523-87561291

网址:www.jsgydq.com

   www.广元电气.com

邮箱:1345814168@qq.com

手机官网